jueves, 25 de mayo de 2023

DESARROLLO DE LA COMPETENCIA ESPECIFICA

 

competencias genéricas y específicas - YouTube

La interpolación lineal es una caso particular de la interpolación general de Newton.

Con el polinomio de interpolación de Newton se logra aproximar un valor de la función f(x) en un valor desconocido de x. El caso particular, para que una interpolación sea lineal es en el que se utiliza un polinomio de interpolación de grado 1, que se ajusta a los valores en los puntos X0 y X1. Se denota de la siguiente manera:



Ejemplo matematico:

empleando la formula anterior procedemos a calcular el valor que tendría el sensor en la medicion correspondiente a 3.5

f(3.5)= 46+ [(44.7-46)/(4-3)]*(3.5-3)=45.35

de igual forma se procedió a hacer los cálculos para cada valor. Los resultados fueron los siguientes:



 

¿Qué es la interpolación de Lagrange?

La interpolación de Lagrange es un método numérico de aproximación de funciones, el cual hace uso de un polinomio que pasa por ciertos puntos conocidos de la función que se pretende aproximar.

Si la función a aproximar es suave, aún fuera de los valores dados o conocidos, el polinomio toma valores cercanos a los de la función de interés, sobre todo si dichos valores están comprendidos entre los puntos dados. Por eso el polinomio se considera una buena aproximación a la función.



Figura 1.- Fórmula para construir los polinomios de Lagrange. Fuente: F. Zapata.

Interpolacion de Lagrange. Ejemplo Resuelto - YouTube

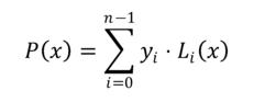
Ahora bien, supóngase que se desea aproximar una función f(x) de la que solo se conocen sus valores en algunos i­, con i desde 0 hasta n-1. Es decir, se conocen n puntos (x­­­­i, yi) con yi = f(xi), donde el índice i va desde 0 hasta n-1.

En el método de interpolación de Lagrange, el polinomio que aproxima a la función f(x) es un polinomio P(x) de grado n-1, construido mediante la combinación lineal de n polinomios Li(x) de grado n-1. Estos son los polinomios de Lagrange, que se expresan de la siguiente manera:



Los valores de yi representan las ordenadas correspondientes a las abscisas xi donde la función f(x) es conocida, es decir: yi = f(xi).

Interpolación segmentaria o splines

En el subcampo matemático del análisis numérico, un spline es una curva diferenciable definida en porciones mediante polinomios.

En los problemas de interpolación, se utiliza a menudo la interpolación mediante splines porque da lugar a resultados similares requiriendo solamente el uso de polinomios de bajo grado, evitando así las oscilaciones, indeseables en la mayoría de las aplicaciones, encontradas al interpolar mediante polinomios de grado elevado.

Para el ajuste de curvas, los splines se utilizan para aproximar formas complicadas. La simplicidad de la representación y la facilidad de cómputo de los splines los hacen populares para la representación de curvas en informática, particularmente en el terreno de los gráficos por ordenador.

Definición: El término "spline" hace referencia a una amplia clase de funciones que son utilizadas en aplicaciones que requieren la interpolación de datos, o un suavizado de curvas. Los splines son utilizados para trabajar tanto en una como en varias dimensiones.

Las funciones para la interpolación por splines normalmente se determinan como minimizadores de la aspereza sometidas a una serie de restricciones.

regresión y correlación

Para usar regresión lineal o correlación cuando se quiere saber si una variable de medición está asociada con otra variable de medición; desea medir la fuerza de la asociación (r22); o si desea una ecuación que describa la relación y pueda usarse para predecir valores desconocidos.

¿Qué es el método de mínimos cuadrados?

Método de Mínimos cuadrados - YouTube

El método de mínimos cuadrados es una de las aplicaciones más importantes en la aproximación de funciones. La idea es encontrar una curva tal que, dado un conjunto de pares ordenados, dicha función se aproxime mejor a los datos. La función puede ser una recta, una curva cuadrática, una cúbica, etc.

La idea del método consiste en minimizar la suma de cuadrados de las diferencias en las ordenadas (componente Y), entre los puntos generados por la función elegida y los puntos pertenecientes al conjunto de datos.

PROBLEMAS DE APLICACIÓN

En los problemas de caída libre consideramos que cuando un objeto sigue un movimiento ascendente, es decir, se mueve hacia arriba la velocidad es positiva, mientras que la aceleración será negativa ya que el objeto se va frenando, en caso contrario, cuando el objeto sigue un movimiento descendente la velocidad será negativa al igual que la aceleración.

ejemplos de problemas de aplicación.

El proceso de solución de los problemas, ejemplifican los procedimientos algebraicos para transformar la integral a una integral inmediata y obtener la solución general, así mismo, la aplicación de las condiciones iniciales para determinar la solución particular.

PROBLEMA 1

El Martín pescador viaja verticalmente a una velocidad inicial de 100 kmh100 ��, desde una altura de 10 metros para pescar al pez rodio que viaja gran velocidad ¿Cuál es la velocidad alcanzada por el Martín pescador al hacer contacto con el agua?, ¿en qué instante choca con el agua? Considera que después del tiempo cero, el movimiento del Martín pescador es en caída libre.


Resolución problema 1

Datos:

vi=−27.7 ms��=−27.7 �� (conversión de 100 kmh = 27.7 ms100 �� = 27.7 ��)

s0=10 m0=10 

g(t)=−9.8ms2()=−9.8��2

v(t)=∫−9.8dt=−9.8t+C()=∫−9.8��=−9.8+, solución general.

v(0)=−9.8(0)+C=−27.77(0)=−9.8(0)+=−27.77, por lo que C=−27.77=−27.77 y sustituyéndola en la función velocidad resulta la solución particular:

v(t)=−9.8t−27.77()=−9.8−27.77

Para obtener la velocidad del Martin Pesador cuando hace contacto con el agua debemos determinar la función posición y con ésta el tiempo cuando hace contacto con el agua.

s(t)=∫(−9.8t−27.77)dt=−4.9t2−27.7t+C()=∫(−9.8−27.77)��=−4.92−27.7+, solución general.

s(0)=−4.9(0)2+27.77(0)+C=10(0)=−4.9(0)2+27.77(0)+=10, por lo que C=10=10 y al sustituirla en la función posición resulta la solución particular.

s(t)=−4.9t2−27.7t+10()=−4.92−27.7+10

Para obtener el tiempo cuando Martín Pescador hace contacto con el agua debemos resolver la ecuación s(t)=0()=0, es decir,

s(t)=−4.9t2−27.77t+10=0()=−4.92−27.77+10=0

t=−b±b2−4ac√2a=27.77±(−27.77)2−4(−4.9)(10)√2(−4.9)=27.77±967.1229√−9.8=27.77±31.09−9.8=−±2−4��2=27.77±(−27.77)2−4(−4.9)(10)2(−4.9)=27.77±967.1229−9.8=27.77±31.09−9.8

t1=−61=−6, t2=0.332=0.33 se toma el tiempo positivo ya que el negativo no tiene sentido en el contexto del problema.

Por lo que la velocidad de Martín Pescador al hacer contacto en el agua es:

v(0.33)=−9.8(0.33)−27.77=−31.004 ms

 

 

 

 

No hay comentarios:

Publicar un comentario

codigo palindromo

 package quesito; import java.util.Scanner; public class PalindromoChecker {     public static void main(String[] args) {         // Variabl...